As Maine Wire reporter Edward Tomic detailed on Friday, agents from the Maine Department of Agriculture, Conservation and Forestry (DACF) have ordered longtime poultry farmers Scott and Tracy Greaney to destroy 300 turkeys or else face ruinous financial penalties.
The Greaney Family Farm, in operation for more than 30 years, has never had this kind of trouble before. This year, however, DACF agents have decided that the Greaneys should destroy the birds or else face fines worth nearly $30,000.
The DACF claims that the Greaneys have run afoul of labeling and licensure requirements, which necessitates the wonton destruction of enough food to help feed 300-400 families just days before Thanksgiving.
Under the terms of the proposed settlement agreement that DACF and the Maine Attorney General’s Office have offered the Greaneys, they are not allowed to sell the birds, and they can’t even donate the birds to a local church or food pantry — even though everyone involved agrees there is nothing unsafe about eating the birds.
In addition, the Greaney must agree, as part of the settlement, to what amounts to a gag order on his right to criticize the government. Per the agreement, Greaney must “interact congenially and professionally with DACF staff and not engage in verbal or nonverbal communications or other intimidation tactics.”
For example, the agreement would probably prevent Greaney from saying something like, “In 2023, Commissioner Amanda Beal made $195,439, Director Craig Lapine made $145,001, Program Manager Jennifer Eberly made $118,838, Inspection Analyst Coordinator Michelle Newbegin made $91,346, Inspection Program Manager Benjamin Metcalf made $89,924, and Director Nancy McBrady made $185,147, and despite these lucrative salaries — well above the median salary for a Maine worker who actually produces value in the private sector — this DACF dream team can find nothing better to do with their time than to harass a rural Maine farmer who has fed people for going on 40 years without ever jeopardizing public health.”
Somehow, this whole episode of Petty Tyrants Gone Wild got even crazier on Tuesday.
Th new, infuriating detail emerged when Scott Greaney received in the mail a copy of a license from DACF — issue date: June 11, 2024; expiration date in April 2025.
As you can see from the below image of the license, any reasonable person would infer from this document that DACFs has granted Greaney’s Family Farm a license — good from June 11, 2024 to April 30, 2025 — to operate as a retail food establishment, to sell prepackaged meat for direct sale, and to operate as a commercial food processor, i.e. to sealed vacuum-sealed frozen poultry under 20,000 total units.
Greaney was in such a state of disbelief about the license that he contacted Craig Lapine, the Director of DACF’s Bureau of Agriculture, Food & Rural Resources, to ask whether the license was real and whether it meant that the 300 “detained” turkeys could actually be sold to hungry families.
The short answer is, no. The license, signed by DACF Commissioner Beal, is in fact worthless. Here’s Lapine’s response, according to a text message from Greaney Wednesday morning:
Scott, I’m responding to your text asking if you can sell the detained poultry because you claim to be in possession of a license covering the dates when you conducted the unlicensed slaughter and processing.
The answer is no.
As you know, you did not receive your commercial food processor license under the <20,000 bird exemption until October 30. That license, issued October 30, 2024, is marked “90 DAY CONDITIONAL LICENSE” with an expiration date of January 28, 2025 (90 days after October 30). That license is on p. 1 of the attachment.
Approximately two weeks after that license was issued, you passed additional inspections. We were then able to add additional authorizations under your retail food establishment license. The license with the additional authorizations is on p. 2 of the attachment. The issue date of June 11 on that license was automatically populated by our database and, erroneously, not manually corrected. The error notwithstanding, that license is also marked “90 DAY CONDITIONAL LICENSE” and also has an expiration date of January 28, 2025, making it clear that license was not in effect until October 30.
Per 22 MRS §2169 (below), the erroneous license is void and must be returned. We will issue you a corrected license.
I do appreciate you calling attention to our error. Let me know if you have additional questions.
Craig Lapine, Director
Maine Bureau of Agriculture, Food & Rural Resources
# # #
Scott, the image you texted me is of license with serial number 166579. That is not the license I believed we were discussing when you first texted me. Nevertheless, it remains true that it was issued error, is not valid, and must be returned.
Our system documents that serial number 166579 was created and printed on November 20, 2024. That tracks given that your original text indicated Tracy had received it today. It reflects the fact that the retail food authorizations were added to your license on November 15 based on Tracy’s commitment to get ServSafe certified.
To summarize, your license to allow meat processing became valid on October 30. You should have evidence of that with license serial number 166282 which we can confirm was printed on November 1. Your authorization to offer baked goods became effective November 15. We need to reissue you a corrected license with that information because the license printed on November 20 has incorrect dates. All of your authorizations have been conditionally granted and expire January 28, 2025.
As you know, your attorney is in possession of our proposed settlement agreement. I hope we will have a chance to discuss and finalize the terms of that soon.
Craig Lapine, Director
Bear in mind: Nowhere in the original “settlement agreement” that DACF proposed to Greaney is there any mention of a danger to the public. None of Greaney’s turkeys have tested positive for foodborne illnesses. We’re not talking about an eminent risk of bird flu. Instead, the government agents have discovered picayune labeling violations and violations of a license issuance policy THAT EVEN DACF DOESN’T APPEAR TO UNDERSTAND.
The existence of a misprinted and mistakenly issued license now raises further questions. For example, how many other Maine farmers right now are producing food thinking they have the right license when, in fact, the license was issued “by mistake” by the geniuses at DACF? Will these mistakenly issued licenses, if discovered, allow the DACF to descended upon other food producers like a cloud of locusts and demand smiles and fees and deference?
The settlement agreement also reveals another unsettling fact about the extent to which that DACF agents have been stalking Greaney as part of this ordeal: The agreement indicates that government employees are routinely scouring Greaney’s Facebook page for images that suggest he may be in violation of obscure rules the DACF is tasked with enforcing.
Here are some images from the proposed settlement agreement that DACF has offered to Greaney, including the term that Greaney must act “congenially” toward the government agents or else face a fine of nearly $30,000.
For convenience, here’s a re-publication of the story Edward Tomic published on Friday, Nov. 22 concerning the TurkeyGate affair:
Just a week before Thanksgiving, the Maine Department of Agriculture, Conservation and Forestry (DACF) demanded that a longtime Somerset County poultry farmer destroy over 300 turkeys for allegedly running afoul of labeling regulations, and required that the farmer “interact congenially” with state officials or pay a nearly $30,000 penalty, according to a settlement agreement obtained by the Maine Wire.
Scott Greaney, co-owner with his wife Tracy of Greaney’s Turkey Farm in Mercer, told the Maine Wire that despite his farm previously not having any issues with DACF in their 43 years of operation, state inspectors from DACF began making visits to his processing facility starting in late May of this year, issuing violations to the farm and claiming that they were out of compliance with certain licensing requirements.
Greaney said that earlier this week, DACF and the Maine Attorney General’s Office sent the farm a settlement agreement with a laundry list of demands, including the destruction of nearly 400 turkeys and chickens, and requiring that the farm “interact congenially” with DACF staff under threat of a $28,700 civil penalty.
According the nine-page settlement agreement, on Oct. 22, DACF officials detained and embargoed 314 turkeys and 60 chickens from the farm, citing labeling issues on the farm’s poultry products, including incomplete addresses, missing weight information, and improper use of “not for sale” stickers.
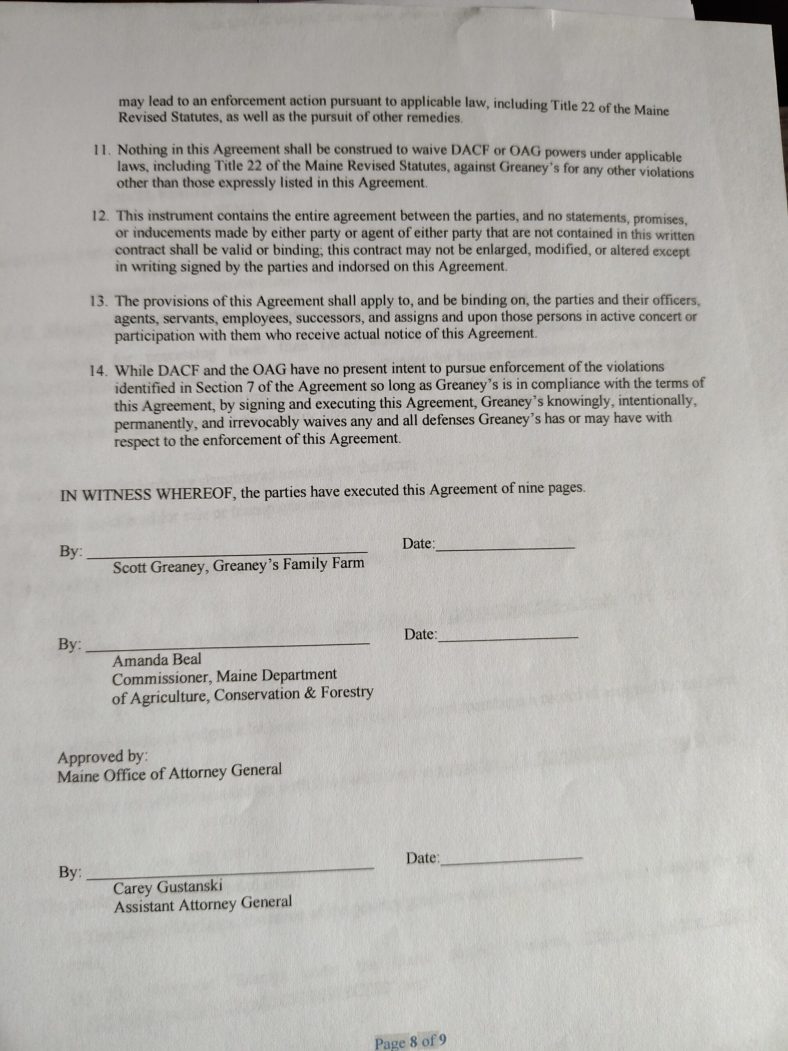
The agreement between Greaney’s Turkey Farm and DACF, along with the Office of the Attorney General, outlines stringent conditions the state is requiring the farm to meet in response to the alleged violations.
Central to the agreement is a $28,700 civil penalty, of which $25,830 will be suspended if Greaney’s complies with all terms of the agreement over the next five years.
Among those conditions are for Greaney’s to provide the state proof of education in poultry processing and sanitation, limiting operations to a single poultry exemption for five years, and that all of the birds detained on Oct. 22 — 314 turkeys and 60 chickens — must be “destroyed under the supervision of QAR [DACF Quality Assurance & Regulations] personnel.”
The agreement also appears to impose behavioral restrictions on Greaney’s, stating “Greaney’s must interact congenially and professionally with DACF staff and not engage in abusive verbal or nonverbal communications or other intimidation tactics so as not to obstruct DACF from completing their work.”
Under the agreement, any non-compliance, “as determined by DACF or [the Attorney General’s Office] in their sole discretion,” may result in enforcement action against Greaney’s by the state and the collection of the full $28,700 fine.
“While DACF and the OAG have no present intent to pursue enforcement…so long as Greaney’s is in compliance with the terms of this Agreement, by signing and executing this Agreement, Greaney’s knowingly, intentionally, permanently, and irrevocably waives any and all defenses Greaney’s has or may have with respect to the enforcement of this Agreement,” the settlement reads.
Greaney told the Maine Wire that he has hired legal representation to challenge the state’s actions, and has obtained a 30-day extension regarding the settlement agreement.
Greaney added that he is looking for potential avenues to donate the 314 turkeys, which he is still keeping frozen.
“We cannot comment on this pending enforcement matter,” said Chief Deputy Attorney General Christopher Taub of the Maine Attorney General’s Office on Friday.
The Maine Wire has also reached out to a DACF spokesperson and the manager of the department’s poultry inspection program, Jennifer Eberly, for comment on the matter.
The Maine Wire has submitted a list of questions to DACF along with a Freedom of Access Act request that might shed some light on how the department operates, why they suddenly decided to visit this bureaucratic meddling upon a turkey farm in Mercer, and how exactly it happens that the department manages to send out a signed and sealed permit by accident.
Since we’re accustomed to various parts of the Gov. Janet Mills administration disregarding the Freedom of Access Act law and finding ways to frustrate, delay, and ignore basic journalistic inquiry, we’ll go ahead and post the questions we put to DACF here for public consumption:
1. What public health interest is being served here? Who is DACF helping?
2. Has DACF ever ordered another farmer to be “congenial” towards its staff? Is the DACF staff aware that the First Amendment allows a broad range of free speech, including free speech that hurts the feelings of government employees, e.g. giving “the bird” to cops?
3. A DACF representative told a state lawmaker that Mr. Greaney made violent threats toward DACF staff. Do you have a police report? Was that violent threat recorded anywhere? Why is there no mention of that violent threat in any of the documentation? Why is the violent threat only something that a lawmaker learned off after a DACF representative reached out to a state lawmaker? If there’s no proof of the alleged violent threat, then why would a DACF staffer tell a state lawmaker that there was? If it turns out that there was, in fact, no violent threat, will there be any discipline for the staff member who made the misleading comment to a state lawmaker?
4. As you know, Mr. Greaney received a license with an effective date of June 11. You claimed in your response to Scott that the June 11 license DACF sent to Greaney was sent accidentally. How often does that happen? How many accidental licenses are currently sitting at farms without DACF’s knowledge? Is DACF’s position that Mr. Greaney just happens to be the only farmer in Maine who has ever received a license like this accidentally? Was DACF unaware of the pending license issuance when they were penalizing Scott for not having said license?
5. In your response to Scott, you claim that the June 11 license was sent accidentally and is in fact a 90-day temporary license, but this is false. The license clearly states that the expiration date is April 30, 2025. Why are you making claims about the license that are contradicted by information on the license? Why are you asking him to return the license?
6. Given all of the uncertainty here on DACF’s part – not knowing that it was sending out licenses, claiming licenses are temporary when they are not, penalizing someone for a license that was actually active as of June 11, giving multiple explanations for why this is happening privately, etc… Why hasn’t DACF apologized for the error and rescinded this entire order and allowed Scott to continue operating safely as he has for nearly four decades?
7. Mr. Greaney alleges that political and/or personal motivations have played a role in the harassment he is receiving. Indeed, he made contact with DACF well before the current license imbroglio began to express his concerns, as I’m sure my public records request will help show. Has DACF done any investigating to determine whether this is the case? What safeguards does DACF have in place to make sure that DACF employees aren’t engaging in this kind of behavior?













0 Comments